Amprolium
Names
Preferred IUPAC name
1-[(4-Amino-2-propylpyrimidin-5-yl)methyl]-2-methylpyridin-1-ium chloride
Other names
1-[(4-Amino-2-propyl-5-pyrimidinyl)methyl]-2-picolinium chloride, Amprovine, Amprolium, Amprol, Anticoccid
Identifiers
3D model (JSmol)
ChEBI
ChEMBL
ChemSpider
ECHA InfoCard 100.004.054
EC Number
  • 204-458-4
MeSH Amprolium
UNII
  • InChI=1S/C14H19N4.ClH/c1-3-6-13-16-9-12(14(15)17-13)10-18-8-5-4-7-11(18)2;/h4-5,7-9H,3,6,10H2,1-2H3,(H2,15,16,17);1H/q+1;/p-1 checkY
    Key: LCTXBFGHZLGBNU-UHFFFAOYSA-M checkY
  • InChI=1/C14H19N4.ClH/c1-3-6-13-16-9-12(14(15)17-13)10-18-8-5-4-7-11(18)2;/h4-5,7-9H,3,6,10H2,1-2H3,(H2,15,16,17);1H/q+1;/p-1
    Key: LCTXBFGHZLGBNU-REWHXWOFAP
  • [Cl-].n1c(c(cnc1CCC)C[n+]2ccccc2C)N
Properties
C14H19N4+ · Cl
Molar mass 278.780 g·mol−1
Pharmacology
QP51BX02 (WHO) QP51BX52 (WHO)
Except where otherwise noted, data are given for materials in their standard state (at 25 °C [77 °F], 100 kPa).
☒N verify (what is checkY☒N ?)
Infobox references

Amprolium is the organic compound sold as a coccidiostat used in poultry. It has many International Nonproprietary Names.[1]

Uses in coccidiosis treatment in poultry

The drug is a thiamine analogue and blocks the thiamine transporter of Eimeria species. By blocking thiamine uptake it prevents carbohydrate synthesis.

Despite only moderate efficacy it is well favoured due to few resistance issues and is commonly used in the United States in conjunction with sulfonamides prophylactically in chickens and cattle as a coccidiostat.

Synthesis

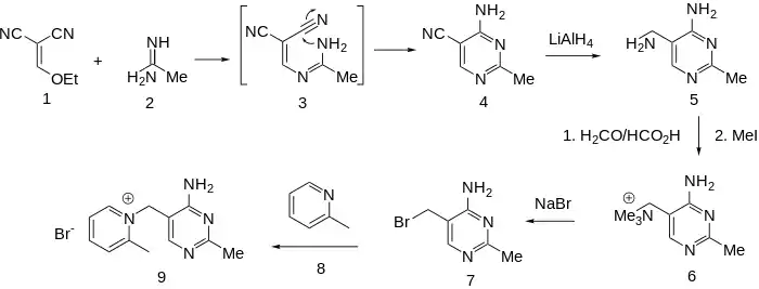
Amprolium synthesis[2] Rogers, Sarett, U.S. Patent 3,020,277 (1962 to Merck & Co.), see also U.S. Patent 3,020,200[3]

Condensation of ethoxymethylenemalononitrile (1) with acetamidine (2) affords the substituted pyrimidine (4). The reaction may well involve conjugate addition of the amidine nitrogen to the malononitrile followed by loss of ethoxide (3); addition of the remaining amidine nitrogen to one of the nitriles will then lead to the pyrimidine (4). Reduction of the nitrile gives the corresponding aminomethyl compound (5). Exhaustive methylation of the amine followed by displacement of the activated quaternary nitrogen by bromide ion affords the key intermediate (7). Displacement of the halogen by α-picoline gives amprolium.

References

  1. Shimizu, Shinkichi; Watanabe, Nanao; Kataoka, Toshiaki; Shoji, Takayuki; Abe, Nobuyuki; Morishita, Sinji; Ichimura, Hisao (2007). "Pyridine and Pyridine Derivatives". Ullmann's Encyclopedia of Industrial Chemistry. Weinheim: Wiley-VCH. doi:10.1002/14356007.a22_399. ISBN 978-3527306732.
  2. Grewe, R. Z. Physiol. Chem. (1936).
  3. "Study on the Synthesis Process of Amprolium Hydrochloride - Master's thesis - Dissertation". Archived from the original on 2015-04-02. Retrieved 2015-03-30.


This article is issued from Wikipedia. The text is licensed under Creative Commons - Attribution - Sharealike. Additional terms may apply for the media files.