In mathematics, an Euler–Cauchy equation, or Cauchy–Euler equation, or simply Euler's equation is a linear homogeneous ordinary differential equation with variable coefficients. It is sometimes referred to as an equidimensional equation. Because of its particularly simple equidimensional structure, the differential equation can be solved explicitly.
The equation
Let y(n)(x) be the nth derivative of the unknown function y(x). Then a Cauchy–Euler equation of order n has the form
The substitution (that is, ; for , one might replace all instances of by , which extends the solution's domain to ) may be used to reduce this equation to a linear differential equation with constant coefficients. Alternatively, the trial solution may be used to directly solve for the basic solutions.[1]
Second order – solving through trial solution



The most common Cauchy–Euler equation is the second-order equation, appearing in a number of physics and engineering applications, such as when solving Laplace's equation in polar coordinates. The second order Cauchy–Euler equation is[1][2]
We assume a trial solution[1]
Differentiating gives
and
Substituting into the original equation leads to requiring
Rearranging and factoring gives the indicial equation
We then solve for m. There are three particular cases of interest:
- Case 1 of two distinct roots, m1 and m2;
- Case 2 of one real repeated root, m;
- Case 3 of complex roots, α ± βi.
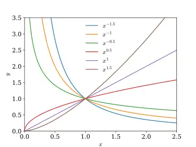
In case 1, the solution is
In case 2, the solution is
To get to this solution, the method of reduction of order must be applied after having found one solution y = xm.
In case 3, the solution is
For .
This form of the solution is derived by setting x = et and using Euler's formula
Second order – solution through change of variables
We operate the variable substitution defined by
Differentiating gives
Substituting the differential equation becomes
This equation in is solved via its characteristic polynomial
Now let and denote the two roots of this polynomial. We analyze the case where there are distinct roots and the case where there is a repeated root:
If the roots are distinct, the general solution is
where the exponentials may be complex. If the roots are equal, the general solution is
In both cases, the solution may be found by setting .
Hence, in the first case,
and in the second case,
Example
Given
we substitute the simple solution xm:
For xm to be a solution, either x = 0, which gives the trivial solution, or the coefficient of xm is zero. Solving the quadratic equation, we get m = 1, 3. The general solution is therefore
Difference equation analogue
There is a difference equation analogue to the Cauchy–Euler equation. For a fixed m > 0, define the sequence fm(n) as
Applying the difference operator to , we find that
If we do this k times, we find that
where the superscript (k) denotes applying the difference operator k times. Comparing this to the fact that the k-th derivative of xm equals
suggests that we can solve the N-th order difference equation
in a similar manner to the differential equation case. Indeed, substituting the trial solution
brings us to the same situation as the differential equation case,
One may now proceed as in the differential equation case, since the general solution of an N-th order linear difference equation is also the linear combination of N linearly independent solutions. Applying reduction of order in case of a multiple root m1 will yield expressions involving a discrete version of ln,
(Compare with: )
In cases where fractions become involved, one may use
instead (or simply use it in all cases), which coincides with the definition before for integer m.