Cyclopentadienyl anion
Names
IUPAC name
Cyclopentadienide
Identifiers
3D model (JSmol)
ChemSpider
  • InChI=1S/C5H5/c1-2-4-5-3-1/h1-5H/q-1
    Key: SINKOGOPEQSHQD-UHFFFAOYSA-N
  • InChI=1/C5H5/c1-2-4-5-3-1/h1-5H/q-1
    Key: SINKOGOPEQSHQD-UHFFFAOYAD
  • [cH-]1cccc1
Properties
[C
5
H
5
]
or Cp
Molar mass 65.09 g/mol
Conjugate acid Cyclopentadiene
Except where otherwise noted, data are given for materials in their standard state (at 25 °C [77 °F], 100 kPa).
Infobox references

In chemistry, the cyclopentadienyl anion or cyclopentadienide is an aromatic species with a formula of [C
5
H
5
]
and abbreviated as Cp.[1] It is formed by the deprotonation of cyclopentadiene. The cyclopentadienyl anion is a ligand which binds to a metal in organometallic chemistry.[2]

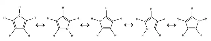
Resonance and aromaticity

Resonance structures of the cyclopentadienyl anion

The cyclopentadienyl anion is a planar, cyclic, regular-pentagonal ion; it has 6 π-electrons (4n + 2, where n = 1), which fulfills Hückel's rule of aromaticity. Each double bond and lone pair provides 2 π-electrons, which are delocalized into the ring.[3] The cyclopentadienyl anion is a conjugated system because there are alternating π and 𝜎 bonds.[4]

Cyclopentadiene has a pKa of about 16. It is acidic relative to many carbon acids. The enhanced acidity is attributed to stabilization of the conjugate base, cyclopentadienyl anion.

Ligand

Cyclopentadienyl anions form a variety of cyclopentadienyl complexes.[5]

Metallocene structure where "M" is a metal

See also

References

  1. "Cyclopentadienide". PubChem Compound Database. National Center for Biotechnology Information. Retrieved 14 April 2016.
  2. Smith, Michael B.; March, Jerry (2007), Advanced Organic Chemistry: Reactions, Mechanisms, and Structure (6th ed.), New York: Wiley-Interscience, p. 66, ISBN 978-0-471-72091-1
  3. Paul, Satadal; Goswami, Tamal; Misra, Anirban (2015-10-01). "Noncomparative scaling of aromaticity through electron itinerancy". AIP Advances. 5 (10): 107211. doi:10.1063/1.4933191.
  4. "Delocalised electrons- Definition and Examples of Delocalized electrons with FAQs". BYJUS. Retrieved 2023-04-01.
  5. C. Elschenbroich (2006). Organometallics. VCH. ISBN 978-3-527-29390-2.


This article is issued from Wikipedia. The text is licensed under Creative Commons - Attribution - Sharealike. Additional terms may apply for the media files.