IDX-184
Legal status
Legal status
  • US: Investigational drug
Identifiers
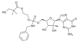
  • S-[2-{[(2R,3R,4R,5R)-5-(2-amino-6-oxo-1H-purin-9-yl)-3,4-dihydroxy-4-methyloxolan-2-yl]methoxy-(benzylamino)phosphoryl}oxyethyl] 3-hydroxy-2,2-dimethylpropanethioate
CAS Number
PubChem CID
ChemSpider
UNII
ChEMBL
Chemical and physical data
FormulaC25H35N6O9PS
Molar mass626.6 g·mol−1
3D model (JSmol)
  • C[C@]1([C@@H]([C@H](O[C@H]1N2C=NC3=C2N=C(NC3=O)N)COP(=O)(NCC4=CC=CC=C4)OCCSC(=O)C(C)(C)CO)O)O
  • InChI=1S/C25H35N6O9PS/c1-24(2,13-32)22(35)42-10-9-38-41(37,28-11-15-7-5-4-6-8-15)39-12-16-18(33)25(3,36)21(40-16)31-14-27-17-19(31)29-23(26)30-20(17)34/h4-8,14,16,18,21,32-33,36H,9-13H2,1-3H3,(H,28,37)(H3,26,29,30,34)/t16-,18-,21-,25-,41?/m1/s1
  • Key:FGHMGRXAHIXTBM-TWFJNEQDSA-N

IDX-184 is an antiviral drug which was developed as a treatment for hepatitis C, acting as a NS5B RNA polymerase inhibitor.[1][2] While it showed reasonable effectiveness in early clinical trials it did not progress past Phase IIb.[3] However research using this drug has continued as it shows potentially useful activity against other emerging viral diseases such as Zika virus,[4][5] and coronaviruses including MERS,[6] and SARS-CoV-2.[7][8]

References

  1. Elfiky AA, Elshemey WM (2016). "IDX-184 is a superior HCV direct-acting antiviral drug: a QSAR study". Medicinal Chemistry Research. 25 (5): 1005–1008. doi:10.1007/s00044-016-1533-y. PMC 7080126. PMID 32214769.
  2. Elfiky AA (2019). "Novel Guanosine Derivatives as Anti-HCV NS5b Polymerase: A QSAR and Molecular Docking Study". Medicinal Chemistry. 15 (2): 130–137. doi:10.2174/1573406414666181015152511. PMID 30324891. S2CID 53501774.
  3. Gentile I, Buonomo AR, Zappulo E, Borgia G (February 2015). "Discontinued drugs in 2012 - 2013: hepatitis C virus infection". Expert Opinion on Investigational Drugs. 24 (2): 239–51. doi:10.1517/13543784.2015.982274. PMID 25384989. S2CID 39936873.
  4. Elfiky AA (December 2016). "Zika viral polymerase inhibition using anti-HCV drugs both in market and under clinical trials". Journal of Medical Virology. 88 (12): 2044–2051. doi:10.1002/jmv.24678. PMID 27604059. S2CID 21846603.
  5. Elfiky AA, Ismail AM (May 2018). "Molecular docking revealed the binding of nucleotide/side inhibitors to Zika viral polymerase solved structures". SAR and QSAR in Environmental Research. 29 (5): 409–418. doi:10.1080/1062936X.2018.1454981. PMID 29652194. S2CID 4811956.
  6. Elfiky AA, Mahdy SM, Elshemey WM (June 2017). "Quantitative structure-activity relationship and molecular docking revealed a potency of anti-hepatitis C virus drugs against human corona viruses". Journal of Medical Virology. 89 (6): 1040–1047. doi:10.1002/jmv.24736. PMC 7167072. PMID 27864902.
  7. Elfiky AA (May 2020). "Anti-HCV, nucleotide inhibitors, repurposing against COVID-19". Life Sciences. 248: 117477. doi:10.1016/j.lfs.2020.117477. PMC 7089605. PMID 32119961.
  8. Elfiky AA (March 2020). "Ribavirin, Remdesivir, Sofosbuvir, Galidesivir, and Tenofovir against SARS-CoV-2 RNA dependent RNA polymerase (RdRp): A molecular docking study". Life Sciences. 253: 117592. doi:10.1016/j.lfs.2020.117592. PMC 7102646. PMID 32222463.
This article is issued from Wikipedia. The text is licensed under Creative Commons - Attribution - Sharealike. Additional terms may apply for the media files.